引言:
近日,我院本科生俞珺洺同学,在应浩江博士指导下,以第一作者身份在视觉国际期刊 《Journal of Vision》 (IF = 2.24,SCI索引,视觉科学协会会刊) 发表题为 《A general serial dependence among various facial traits: Evidence from Markov Chain and derivative of Gaussian》的论文。本研究通过高斯导数拟合(Derivative of Gaussian)以及马尔可夫链(Markov Chain)建模发现面孔社会特征判断中存在序列依赖性(serial dependence)的普遍机制,并发现序列依赖性的计算和实际意义。
论文信息: Yu, J.-M., & Ying, H. (2021). A general serial dependence among various facial traits: Evidence from Markov Chain and derivative of Gaussian. Journal of Vision, 21(13):4, 1–13, https://doi.org/10.1167/jov.21.13.4.
背景介绍:
序列相依性(Serial dependence)指视觉系统对当前刺激的感知受到先前刺激的影响,进而产生正向偏差。序列相依性被广泛认为是认知系统实现时间稳定和连续性的重要机制之一。随着计算视觉的研究,序列相依性愈发受到学术界关注与讨论。这一性质已经在诸如方向、运动等的基本视觉特征的感知到包括面孔认知在内的高层级视觉加工被广泛发现。然而,目前尚不清楚序列相依性的计算机制细节以及在认知中的其他作用。
目前研究序列相依性的实验仅局限于“是否存在此效应”,而未进入数学建模阶段。但根据现有研究成果可知,序列相依性在数学表现上有一定的马尔科夫性质:当一个随机过程在给定现在状态及所有过去状态情况下,其未来状态的条件概率分布仅依赖于当前状态。因此,序列相依性的数学建模应当从概率论角度进行。
研究内容:
本研究从面孔社会特征判断着手,以便探索序列相依性在高层级社会信息中的机制细节。本研究的研究方法,通过传统的高斯导数拟合作为基础,使用马尔科夫链进行数学建模探索,最后从高效编码理论验证其物理意义。
本研究直接探索序列相依性在包括面孔吸引力、可信任性、自信、支配性、智力、年龄和攻击性的七类面孔特征判断中是否具有形态和功能上的普遍性,以进一步探究序列相依性的普遍性功能。通过高斯导数拟合和马尔可夫链建模(图一),本研究发现在面孔社会特征判断中存在序列依赖性的普遍机制。对马尔可夫链的转移状态矩阵进行相关分析显示,各面孔特征判断的矩阵形态类似对角矩阵,且各矩阵间高度相关。该结果说明序列相依性是存在于各类面孔社会特征判断任务的普遍机制,以帮助视觉系统实现空间稳定性与连续性。

图一. 七种面孔社会特征的转移概率矩阵。矩阵中每个网格的颜色代表从先前判断反应(x轴)到当前判断反应(y轴)的转移概率。高转移概率更红,低转移概率更蓝。
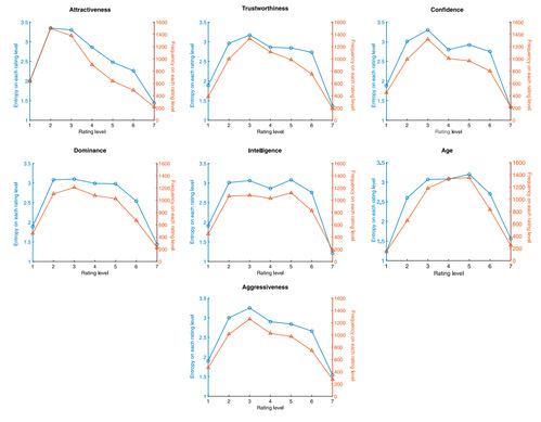
对马尔可夫链建模的进一步分析结果显示(图二),马尔可夫链各级评分状态的信息熵分布与各级评分的频率分布相似。该结果说明序列相依性作为视觉系统实现时间稳定性的关键机制,可以根据刺激状态出现的原始频率分布调节加工效率和准确性,以使视觉系统对高频刺激状态保持高度准确性(即,序列相依性在对高频刺激状态的感知的作用下降)。该结果进而支持各面孔社会特征判断的序列相依性具有功能普遍性,均符合有效编码策略。

图二. 7类面孔特征判断中各评分的频率分布(红线)和转移概率矩阵在各评分状态的信息熵变化(蓝线)。信息熵变化的分布与各评分状态的频率分布相似。转移概率矩阵信息熵的变化分布亦可证明序列相依性。
声明:
我院本科生俞珺洺为第一作者,指导教师应浩江博士为通讯作者。该研究得到江苏省自然科学基金青年项目(BK20200867)的资助。